Shankar Pol1*, Rajesh Nawale2, Prashant Puranik3, Hrutuja Chalak4, Harsha Pol5
1Department of Pharmacy, Research Scholar, YB Chavan College of Pharmacy, Dr. BAMU, Aurangabad - 431001, Maharashtra, India.
2Department of Pharmacology, Faculty of Pharmacy, Government College of Pharmacy, Dr. BAMU, Aurangabad - 431005, Maharashtra, India.
3Department of Pharmaceutics, Faculty of Pharmacy, University Department of Pharmaceutical Sciences, RTMNU, Nagpur- 440033, Maharashtra, India.
4,5ZIM Laboratories Limited, Nagpur- 441501, Maharashtra, India.
*Address for Corresponding Author
Shankar Dadasaheb Pol
YB Chavan College of Pharmacy, Dr. BAMU, Aurangabad - 431001, Maharashtra, India
Abstract
Objective: This present study aims to screening of pharmaceutical cocrystal of Dabigatran Etexilate Mesylate (DEM) and coformers using different methods. Further the preparation and evaluation of DEM-coformer cocrystal and study the effect of cocrystallization on stability of DEM. Material and Methods: The coformers for DEM were screened using Hansen Fedor’s solubility parameter. Compatibility study between DEM and coformer was performed. Coformer and cocrystallization method were selected based upon impurity level determination by RP-HPLC method during screening of coformers and cocrystalization methods. Further cocrystallization between selected coformer and DEM was confirmed using molecular docking study. The DEM-coformer cocrystal prepared using neat grinding method. The cocrystals produced were characterized using Differential Scanning Calorimetry (DSC), Fourier Transform Infrared (FTIR) spectroscopy and impurity level determination. Results: Cocrystal of DEM with amino acid was successfully prepared by neat grinding method. The formation of cocrystals of DEM with amino acid was evaluated by DSC, IR and impurity level determination by RP-HPLC method. Conclusion: The DEM-Leucine cocrystal exhibit enhanced stability as compared to other cocrystal. This study confirms that selection of proper coformer is very crucial step in preparation of stable, good cocrystal. Based upon above study and results it revealed that cocrystallization offers a valuable way to improve the physicochemical properties of the API.
Keywords: Pharmaceutical Cocrystal, Dabigatran Etexilate Mesylate, Coformer, Hansen Fedor’s solubility parameter
Introduction
Pharmaceutical cocrystallization is a reliable method to modify and improve physical and technical properties of drugs such as physical and chemical stability, solubility, dissolution rate, hygroscopicity and compressibility without altering their pharmacological activity or behaviour (Almarsson and Zaworotko, 2004; Schultheiss and Newman, 2009). Pharmaceutical cocrystals provide an alternative to chemical modification of the drug substance as well as established salt, amorphous, solvate, polymorphic drug forms and inclusion complexes, all of which have limitations in their utility (Mathew, 2009; Srikanth et al., 2010 ). Cocrystal formation depends on the functional groups between API and coformer, to allow for the occurrence of hydrogen bonds or other forms of solid interaction (Namara et al., 2006). Pharmaceutical cocrystal is a solid form built using synthon-based design, where the API and cocrystal former molecules (coformer) connected through strong supramolecular synthons (Desiraju, 1995). Additionally Pharmaceutical cocrystals are the crystalline materials comprised of two or more compound both of which are solids at room temperature, bond together in a crystal lattice through non-covalent intermolecular interactions, often including hydrogen bonding (Mohammad et al., 2011).
Coformers were chosen as they have some pharmaceutical relevance, i.e. APIs or biological building blocks. The other criterion was that they needed to be computationally feasible, i.e. have limited flexibility and contain only carbon, hydrogen, oxygen and nitrogen in common functional groups. A further limitation was that the compounds could be safely handled in the available facilities. We used amino acids as coformers to obtain cocrystals of DEM. Amino acids are natural to the body, which makes them perfect candidates for cocrystallization of DEM.
Dabigatran Etexilate Mesylate structure consists of one benzimidazole, one pyridine, three carbonyl groups, four aliphatic nitrogen atoms and three aromatic nitrogen atoms. DEM molecule has three hydrogen bond donors as well as eleven hydrogen bond acceptors due to aromatic nitrogen (Narom) in imidazole ring, pyridine ring and carbonyl groups and significant conformational flexibility. Caffeine and theophylline are examples of APIs that have imidazole ring. Some co-crystals between caffeine and some carboxylic acids, namely carboxylic acids (Bucar et al., 2009), oxalic acid (Trask et al., 2005) and glutaric acid (Abourahma et al., 2012) have been studied. As well as caffeine, theophylline also formed co-crystal with oxalic acid (Zhang and Rasmuson, 2012), benzoic acid (Heiden et al., 2012) and salicylic acid (Namara et al., 2006). The chemical structures of DEM and Amino acids shown in figure 1 and 2.

Figure 1. Dabigatran Etexilate Mesylate
Dabigatran Etexilate Mesylate is a BCS Class II (low solubility / high permeability) drug substance. The absolute bioavailability of Dabigatran following oral administration of Dabigatran Etexilate Mesylate is approximately 3 to 7%. Dabigatran base molecule has sub-therapeutic bioavailability and hence it is converted into prodrug i.e. Dabigatran Etexilate which leads improves bioavailability of Dabigatran, additionally further to improvement in solubility and other properties, salt form of Dabigatran Etexilate is prepared i.e. Dabigatran Etexilate Mesylate. Dabigatran Etexilate Mesylate is absorbed as the Dabigatran Etexilate ester. The ester is then hydrolyzed, forming Dabigatran, the active moiety. Dabigatran Etexilate Mesylate and its acyl glucuronides are competitive, direct thrombin inhibitors. Because thrombin (serine protease) enables the conversion of fibrinogen into fibrin during the coagulation cascade, its inhibition prevents the development of a thrombus. Both free and clot-bound thrombin and thrombin-induced platelet aggregation are inhibited by the active moieties. Dabigatran Etexilate Mesylate is long waited oral anti-coagulants after warfarin. Dabigatran Etexilate Mesylate is currently marketed as PRADAXA as oral immediate release capsule. Dabigatran Etexilate Mesylate is highly moisture sensitive, less stable and less soluble.
The aim of the study was to screening, prepare and evaluation of cocrystals of Dabigatran Etexilate Mesylate with different coformers. For the said purpose, first Hansen Solubility Parameters (HSPs) approach was used by application of Fedor’s group substitution method to investigate the miscibility of a drug and coformer. To predict the miscibility of a drug with excipients in different formulation like solid dispersions, HSPs have been widely used (Greenhalgh et al., 1999). HSPs could predict the compatibility of pharmaceutical materials and for pre-formulation and formulation development. The HSPs of the coformers and Dabigatran were calculated using Fedor’s group substitution method. Based on the HSPs calculations, coformers were selected for cocrystallization with Dabigatran Etexilate Mesylate (Mohammad et al., 2011). The absolute bioavailability of dabigatran following oral administration of Dabigatran Etexilate Mesylate is approximately 3 to 7%. After oral administration of radiolabeled Dabigatran, 7% of radioactivity is recovered in urine and 86% in feces (Boehringer Ingelheim, 2010). Failure to respond to Dabigatran therapy may arise due to poor aqueous solubility, pH dependent solubility, and highly sensitive to degradation in presence of moisture, acidic conditions. Previously to improve the solubility, stability, the preparation of a solid dispersion with cyclodextrins, or/ providing acidic microenvironment to Dabigatran Etexilate by modification of formulation strategy like coating, separation Dabigatran Etexilate and Tartaric acid within same formulation was reported (Ulrich and Norbert, 2003; Boeck, 2013).
Thus, the development of the readily absorbed, stable oral anticoagulant drug is an unmet need for treatment to reduce the risk of stroke and systemic embolism in patients with non-valvular atrial fibrillation disease.
Overall study of Dabigatran Etexilate Mesylate, coformer, cocrystallization technology and most important unmet need gives idea to applicant that DEM has a higher chance to form a cocrystal with amino acids. It is very essential to prepare Dabigatran Etexilaaate Mesylate – Amino Acid (DEM-AA) cocrystal, so it can improve stability and/or solubility of DEM. The purpose of this study was to prepare and characterize DEM-AA cocrystal.
Cocrystal screening is an experimental process to determine that a particular coformer candidate is able to cocrystallise with a targeted API. In Cocrystal screening proper coformers could be selected to do scale up experiments.
Cocrystals are miscible systems at a molecular level, hence the proposition was brought in that miscibility could be a good indication tool of cocrystal formation between two molecules in the solid state, which would help researchers to avoid going through exhausting cocrystal screening studies. Hence in the present study, the selection of cocrystal system is based on Hansen solubility parameter (HSP) calculated by Fedor’s group substitution method for drug and all CCFs.
Materials and Methods
Materials
Dabigatran Etexilaaate Mesylate – Amino Acid (DEM-AA) is provided by ZIM laboratories Limited. All amino acid coformers purchased from central scientific company. All required solvents and excipients provided by ZIM laboratories Limited.
Selection of coformers
At Initial level, coformers study based upon literature, we selected 63 coformers for further detailed screening and evaluation based upon coformer compatibility with DEM, miscibility parameter. We selected 25 coformers based on incompatibility of DEM with acidic nature excipients (Ulrich and Norbert, 2003). Further, selection of coformers based upon calculation of solubility parameter.
Solubility parameter
The ideal pharmaceutical formulations have optimised solubility and stability of drug molecule. Solubility of drug is important parameter where the solubility plays a vital role in the development of pharmaceutical formulation with optimized physical properties for readily bioavailability of drug. In general, solubility parameters are termed as cohesion energy parameters and derive from the energy needed to convert a liquid phase to a gas phase. The energy of vaporization is direct measures of the total (cohesive) energy present in the liquid’s molecules together. The term cohesion energy parameter is more appropriately used when referred to surface phenomena.
……………..……... (1)
Where,
c=Cohesive energy density,
H=Heat of vaporization,
R=Gas constant,
T=Temperature,
Vm=Molar volume.
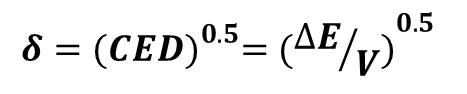
The cohesive energy density (CED) of a liquid phase is a numerical value, indicating the energy of vaporization in calories per cubic centimeter, and is a directly reflecting to degree of van der Waals forces holding the molecules of the liquid together. The correlation between vaporization and van der Waals forces helpful in transforming into a correlation between vaporization and solubility behaviour, because the same intermolecular attractive forces have to be overcome to vaporize a liquid as to dissolve it. When intermolecular attractive forces are similar, it means such material have higher solubility within each other. It is experienced in previous research and can expect that material with similar cohesive energy density (CED) would be miscible within each other (Gaikwad et al., 2017; Hansen, 2007).
HSPs calculations of Dabigatran
The concept of a solubility parameter (δ) was introduced by Hildebrand and Scott, who proposed that materials with similar δ values would be miscible (Hansen, 2007). The HSP model, which was developed later, is based on the concept of dividing the total cohesive energy into individual components (dispersion, polar and hydrogen bonding). In pharmaceutical sciences, HSPs have been used to predict the miscibility of a drug with excipients/carriers in solid dispersions, cocrystallization, complex formation, drug-excipient compatability study, preformulation study and many other applications (Hansen, 1967; Etter, 1990; Hancock et al., 1997; Greenhalgh et al., 1999; Mohammad et al., 2011).
Hildebrand et al. named the energy of vaporization per unit volume as the CED.
…………………….. (2)
Where,
E is the energy of vaporization
V is the molar volume
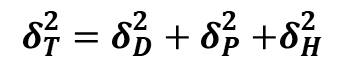
Hansen assumed that total cohesion energy is the sum of dispersion ED, polar EP, and hydrogen bond energy EH.
……………… (3)
And by dividing both sides of the equation by molar volume V, we will have the total Hansen solubility parameter or Hildebrand solubility parameter δT:
…………………………. (4)
Where,
δT =Total solubility parameter
δD =Dispersion interactive (London) force
δP =Permanent dipoles in interacting molecules, called dipole-dipole interactive forces
δH =Hydrogen-bonding force
The common used units for δ in literatures are (J/m3), MPa, or (cal/cm3), where one (cal/cm3) is equivalent to 2.0421 MPa or (J/m3).
Solubility parameters for dry solutes may be obtained by Fedor’s group substitution method. The basic steps in Fedor’s method are to open the rings and treat the resultant structure as an open-chain compound. Then, the approximate substituent constants are applied. These are summed, and the solubility parameter calculated as square root of the sum of energy of mixing substituent constants divided by the sum of molar volume substituent constants (Fedors, 1974).
The Fedor’s group substitution method is used for theoretical calculation which helps for the selection of coformer which is compatible with drug. The Fedor’s group substitution method reduces practical work by predicting whether the molecular complex is formed or not. The Fedor’s method calculation is based on the attachment of atom or molecules from the structure. This method is used for theoretical calculation of solubility. The theoretical prediction or possibility of cocrystal formation predicted by Krevelen’s Δ≤5 MP and Greenhalgh Δ≤7 MP respectively (Fedors, 1974; Greenhalgh et al., 1999; Savova et al., 2007). Compounds with similar δ values are likely to be miscible (Ozdemir and Guner, 2007), hence we selected closer δ values i.e. Δ≤2 MP for present study.
Fedor’s group substitution method
Fedor’s proposed a method of determining solubility parameter without using the density value of the compound. This method is supposed to be better than Small’s method for two reasons: The contributions of much larger number of functional groups have been evaluated, and the method requires only the knowledge of structural formula of the compound (Rathi, 2010; Gaikwad et al., 2017). The following equation is used for directly determining solubility parameter:
……………………………… (5)
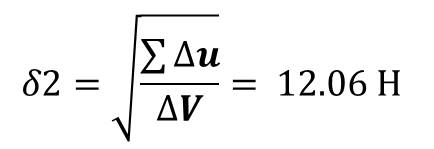
Where, Δu and ΔV are the cohesive energy per mole and molar volume respectively.
Based on Fedor’s Substitution constants,

Total solubility parameter (Δδt) between the drug and the coformers can be applied as a tool to predict the miscibility of two compounds.
………………….……… (6)
Where t1 and t2 are coformers and drug respectively and compounds with Δδt <7MP0.5 are miscible with each other (Mohammad et al., 2011). The theoretical prediction of cocrystal formation is shown in Table 2. Compounds with similar δ values are likely to be miscible (Ozdemir and Guner, 2007), hence we selected closer δ values i.e. Δ≤2 MP for present study.
Coformer screening for preparation of DEM Cocrystals
We did compatibility study of selected 13 coformers after application of solubility parameter criteria based upon Fedor’s group substitution method. We selected 4 coformers based upon compatibility study results. Additionally computer docking study performed for possibility and confirmation of formation of cocrystal between DEM and four selected coformers. Further we used selected four coformers for cocrystallization method.
Compatibility study
Study of drug-excipient interactions is an important step in the preformulation stage of development of a dosage form. Excipients can influence the stability and bioavailability of formulations by physical and chemical interactions with active pharmaceutical ingredient (Jackson et al., 2000; Rowe et al., 2009). These interactions may lead to change in the physicochemical properties of the drug and generation of degradation products (Chadha and Bhandari, 2014). It is therefore important to conduct drug-excipient compatibility studies to know possible interactions for the development of a stable and effective pharmaceutical formulation.
We stored DEM-coformers mixtures in two ratio (1:1 and 1:2) at 40˚C / 75% RH for 1 month and evaluated RS-DEM by RP-HPLC analytical method. Chromatographic analysis was performed on Princeton SPHER-100 C18 (250 X 4.6 mm, 5 μm) HPLC column, maintained at 30˚C column temperature, 6˚C sample tray temperature and detection monitored at 225 nm. The mobile phase consisted of Acetonitrile: Phosphate Buffer (pH 2.5) (33:67 V/V). The flow rate was maintained at 1.0 ml/min. We selected four coformers for further preparation of cocrystal and selection of method of cocrystallization on the basis lowest impurity level after RS-DEM analysis.
Molecular Docking
Molecular docking is effective approach for computer aided structure-based drug discovery which predicts the possibility of binding and preferred orientation of one molecule to a second when bound to each other to form a new complex (Lengauer and Rarey, 1996). Information of the binding and preferred orientation is used to predict the strength of association or binding affinity between two molecules using scoring functions which is helpful for designing experiments with correct view and approach (Gaba et al., 2010; Meng et al., 2011). We confirmed the possibility of formation of cocrystal of above selected four coformers based on solubility parameter, molecular docking study and compatibility study.
Preparation of DEM cocrystals
Synthesis of cocrystals of DEM was carried out using various methods like grinding method, solvent drop grinding method, grinding with sonication method and solvent drop grinding with sonication method. The type and amount of solvent and ratio of the API with Coformer is an important variable in cocrystallization. We selected methanol as solvent on the basis of DEM, coformer solubility and literature survey.
The accurately weighed quantity of DEM and coformers in 1:1, 1:2 molar ratio was grounded in mortar and pestle for 30 min, the cocrystals obtained was collected and stored in desiccator till further use.
In the solvent-drop grinding method, DEM and coformers were weighted in 1:1, 1:2 molar ratio was grounded together with addition of 3 to 4 ml of methanol which is added in drop wise manner. The mixture was grounded in mortar and pestle for 30 min, the cocrystals obtained was collected and stored in desiccator till further use.
In the grinding with sonication method, DEM and coformer in 1:1, 1:2 molar ratio were grinded with sonication. The mixture was grounded in mortar and pestle for 30 min, the cocrystals obtained was collected and stored in desiccator till further use.
In the solvent-drop grinding with sonication method, DEM and coformers were weighted in 1:1, 1:2 molar ratio was grounded together with sonication, simultaneously addition of 3 to 4 ml of methanol which is added in drop wise manner. The mixture was grounded in mortar and pestle for 30 min, the cocrystals obtained was collected and stored in desiccator till further use.
Evaluation of Cocrystal formation
The prepared cocrystal in present study was primarily confirmed by comparing DSC results, FTIR results of cocrystals with DEM (pure drug) and respective coformers. Further cocrystals evaluated for one month stability (RS-DEM) study by RP-HPLC analytical method.
Infrared spectroscopy
IR spectra of samples were recorded on FTIR IRAffinity–1S (Shimadzu). The spectra were collected over the range of 4000-700 cm−1 for each sample.
Differential Scanning Calorimetry
The samples were analysed by Differential Scanning Calorimeter (Shimadzu DSC-60) over the range of 50-300 °C at the rate of 20°C per minute.
RS-DEM Stability Evaluation of Cocrystals
RS-DEM stability of cocrystals evaluated for 1 month against controlled sample of DEM by using RP-HPLC method. We used same chromatographic analysis which is used for above compatibility study.
Results and Discussion
Miscibility prediction of coformers with DEM using Fedor’s group substitution method
The selection of appropriate cocrystal formers for pharmaceutical cocrystallization of DEM was accomplished via the miscibility of a drug and CCFs (as calculated by Fedor’s group substitution method). The representative example of solubility parameter calculation by Fedor’s group substitution method for DEM is represented in table 1 and theoretical prediction of miscibility of DEM with coformers represented in table 2.
Table 1. Calculation of solubility parameter of DEM by Fedor’s group substitution method
|
Drug DEM fragments |
No. of fragment |
Cohesive Energy (Cal/Mol) |
Total Cohesive Energy (ΔEV) (Cal/Mol) |
Molar Volume (Cm3/Mol) |
Total Molar Volume (Vm) (Cm3/Mol) |
|
- CH3 |
3 |
1125 |
3375 |
33.5 |
100.5 |
|
- CH2 - |
9 |
1180 |
10620 |
16.1 |
144.9 |
|
- CO |
1 |
4150 |
4150 |
10.8 |
10.8 |
|
- COO |
2 |
4300 |
8600 |
18 |
36 |
|
- N= |
2 |
2800 |
5600 |
5 |
10 |
|
- N < |
2 |
1000 |
2000 |
-9 |
-18 |
|
- NH |
3 |
2000 |
6000 |
4.5 |
13.5 |
|
Phenylene |
1 |
7630 |
7630 |
52.4 |
52.4 |
|
6 membered ring |
2 |
250 |
500 |
16 |
32 |
|
5 membered ring |
1 |
250 |
250 |
18 |
18 |
|
(=) in Ring |
7 |
400 |
2800 |
-2.2 |
-15.4 |
|
=CH - |
7 |
1030 |
7210 |
13.5 |
94.5 |
|
= C<(Inside Ring) |
5 |
1030 |
5150 |
-5.5 |
-27.5 |
|
= C< (Other than Ring) |
1 |
1030 |
1030 |
-5.5 |
-5.5 |
|
Total |
46 |
|
64915 |
|
446.2 |
|
δ2(Cal/cm3)0.5 |
(64915/446.2)0.5 |
12.06 |
|||
Table 2. Theoretical prediction of miscibility by Fedor’s method
|
Compound |
δ value |
Difference δ1—δ2 |
∆δ |
Possibility of cocrystal formation [Δδ≤2MP] |
|
|
DEM (Drug) |
12.06 |
12.06 |
- |
- |
|
|
Alanine |
11.99 |
12.06 - 11.99 |
0.07 |
Highly Miscible, Selected |
|
|
Arginine |
13.66 |
12.06 - 13.66 |
1.6 |
Highly Miscible, Selected |
|
|
Asparagine |
14.21 |
12.06 -14.21 |
2.15 |
Not Highly Miscible, Rejected |
|
|
Aspartic acid |
14.11 |
12.06 - 14.11 |
2.05 |
Not Highly Miscible, Rejected |
|
|
Cysteine |
12.87 |
12.06 - 12.87 |
0.81 |
Highly Miscible, Selected |
|
|
Glutamine |
13.73 |
12.06 - 13.73 |
1.67 |
Highly Miscible, Selected |
|
|
Glutamic acid |
13.43 |
12.06 - 13.43 |
1.37 |
Highly Miscible, Selected |
|
|
Glycine |
12.99 |
12.06 - 12.99 |
0.93 |
Highly Miscible, Selected |
|
|
Histidine |
14.96 |
12.06 - 14.96 |
2.9 |
Not Highly Miscible, Rejected |
|
|
Isoleucine |
10.67 |
12.06 - 10.67 |
1.39 |
Highly Miscible, Selected |
|
|
Leucine |
10.67 |
12.06 - 10.67 |
1.39 |
Highly Miscible, Selected |
|
|
Lysine |
11.78 |
12.06 -11.78 |
0.28 |
Highly Miscible, Selected |
|
|
Methionine |
11.79 |
12.06 - 11.79 |
0.27 |
Highly Miscible, Selected |
|
|
Phenylalanine |
11.97 |
12.06 - 11.97 |
0.09 |
Highly Miscible, Selected |
|
|
Proline |
11.71 |
12.06 - 11.71 |
0.35 |
Highly Miscible, Selected |
|
|
Serine |
16.03 |
12.06 - 16.03 |
3.97 |
Not Highly Miscible, Rejected |
|
|
Threonine |
14.78 |
12.06 - 14.78 |
2.72 |
Not Highly Miscible, Rejected |
|
|
Tryptophan |
17.96 |
12.06 - 17.96 |
5.9 |
Not Highly Miscible, Rejected |
|
|
Tyrosine |
14.51 |
12.06 - 14.51 |
2.45 |
Not Highly Miscible, Rejected |
|
|
Valine |
10.94 |
12.06 - 10.94 |
1.12 |
Highly Miscible, Selected |
|
|
Urea |
14.36 |
12.06 -14.36 |
2.30 |
Not Highly Miscible, Rejected |
|
|
Glucosamine |
22.51 |
12.06 - 22.51 |
10.45 |
Not Highly Miscible, Rejected |
|
|
Xylitol |
22.59 |
12.06 - 22.59 |
10.53 |
Not Highly Miscible, Rejected |
|
|
Meglumine |
20.77 |
12.06 - 20.77 |
8.71 |
Not Highly Miscible, Rejected |
|
|
Trimethamine |
18.99 |
12.06 - 18.99 |
6.93 |
Not Highly Miscible, Rejected |
|
We selected 13 coformers based upon above coformer miscibility with DEM i.e. [Δδ≤2MP] for further study.
DEM and Coformers compatibility study
All selected 13 coformers and DEM compatibility study performed in two stoichiometric ratios (1:1 and 1:2) and evaluated for 1 month by RS-DEM stability study against controlled sample of DEM by using RP-HPLC method. We found that only four coformers are more compatible with DEM. The details of 13 coformers and DEM compatibility study represented in table 3.
Table 3. Compatibility Study Details
|
Compatibility Study Details |
Study Code |
Ratio of DEM:Coformer |
Initial Impurity |
15 Days Impurity |
1 Month Impurity |
|
Drug (DEM) |
D |
- |
0.57 |
1.40 |
1.52 |
|
DEM & Cysteine |
DC1 |
1:1 |
0.66 |
1.25 |
1.52 |
|
DEM & Cysteine |
DC2 |
1:2 |
0.67 |
1.23 |
1.49 |
|
DEM & Glycine |
DG1 |
1:1 |
0.68 |
1.34 |
1.41 |
|
DEM & Glycine |
DG2 |
1:2 |
0.71 |
1.21 |
1.42 |
|
DEM & Alanine |
DAL1 |
1:1 |
0.54 |
0.69 |
0.94 |
|
DEM & Alanine |
DAL2 |
1:2 |
0.50 |
0.78 |
1.08 |
|
DEM & Arginine |
DAR1 |
1:1 |
0.49 |
0.80 |
2.55 |
|
DEM & Arginine |
DAR2 |
1:2 |
0.58 |
1.21 |
3.19 |
|
DEM & Glutamine |
DGA1 |
1:1 |
0.43 |
0.67 |
0.97 |
|
DEM & Glutamine |
DGA2 |
1:2 |
0.50 |
0.59 |
1.18 |
|
DEM & Glutamic Acid |
DGAA1 |
1:1 |
0.50 |
0.98 |
1.09 |
|
DEM & Glutamic Acid |
DGAA2 |
1:2 |
0.53 |
1.15 |
1.24 |
|
DEM & Isoleucine |
DI1 |
1:1 |
0.51 |
0.85 |
1.18 |
|
DEM & Isoleucine |
DI2 |
1:2 |
0.58 |
0.85 |
1.21 |
|
DEM & Leucine |
DLU1 |
1:1 |
0.53 |
0.79 |
1.18 |
|
DEM & Leucine |
DLU2 |
1:2 |
0.52 |
0.85 |
1.15 |
|
DEM & Lysine |
DLY1 |
1:1 |
0.68 |
0.69 |
1.07 |
|
DEM & Lysine |
DLY2 |
1:2 |
0.52 |
0.75 |
1.10 |
|
DEM & Methionine |
DM1 |
1:1 |
0.52 |
0.90 |
1.24 |
|
DEM & Methionine |
DM2 |
1:2 |
0.59 |
0.86 |
1.18 |
|
DEM & Phenylalanine |
DPA1 |
1:1 |
0.57 |
1.03 |
1.28 |
|
DEM & Phenylalanine |
DPA2 |
1:2 |
0.56 |
0.93 |
1.19 |
|
DEM & Proline |
DPR1 |
1:1 |
0.58 |
1.11 |
2.05 |
|
DEM & Proline |
DPR2 |
1:2 |
0.59 |
1.63 |
3.21 |
|
DEM & Valine |
DV1 |
1:1 |
0.62 |
1.08 |
1.28 |
|
DEM & Valine |
DV2 |
1:2 |
0.63 |
0.93 |
1.25 |
The molecule of DEM structure consists of two aromatic rings (imidazole and pyridine), three carbonyl groups, four aliphatic nitrogen atoms and three aromatic nitrogen atoms. DEM molecule has three hydrogen bond donors as well as eleven hydrogen bond acceptors due to aromatic nitrogen (Narom) in imidazole ring, pyridine ring and carbonyl groups and significant conformational flexibility; hence it is possible to form co-crystals with certain co-formers. Co-formers chosen in this work were Leucine, glutamine, Alanine and lysine. The result of virtual screening of co-formers using molecular docking is showed in table 4.
Table 4. Virtual screening of co-formers with using molecular docking
Characterization and cocrystals detection by DSC, FTIR
The predicted cocrystals were verified experimentally by using DSC for miscibility and cocrystal detection. The signs of melting point depression were the signs of miscibility and cocrystal formation as the new phase with a new melting point was observed. A single endothermic sharp peak was observed for each cocrystal confirming about the new crystalline phase. Representative DSC spectra of DEM, Leucine and DEM-Leucine cocrystals with characteristic DSC endotherms at about 178.60° C, 281.61° C and 174° C respectively as shown in Figure 3, 4 and 5. However melting endotherm can be higher or lower than endotherm of API. The melting endotherms obtained from DSC of all the investigated cocrystals are summarized in table 5.
Table 5. DSC Study Details of Cocrystal, DEM and Coformer
|
Cocrystal |
Code |
Melting Point (°C) |
|
DEM |
DEM - Drug |
178.60 |
|
DEM + Alanine |
DAL1 - G |
174.84 |
|
DEM + Alanine |
DAL1 - GS |
174.61 |
|
DEM + Alanine |
DAL1 - GM |
172.20 |
|
DEM + Alanine |
DAL1 - GSM |
173.71 |
|
DEM + Glutamine |
DGA1 - G |
196.93 |
|
DEM + Glutamine |
DGA1 - GS |
196.82 |
|
DEM + Glutamine |
DGA1 - GM |
197.37 |
|
DEM + Glutamine |
DGA1 - GSM |
198.95 |
|
DEM + Leucine |
DLU1 – G |
174.15 |
|
DEM + Leucine |
DLU1 – GS |
174.37 |
|
DEM + Leucine |
DLU1 – GM |
172.59 |
|
DEM + Leucine |
DLU1 - GSM |
172.82 |
|
DEM + Lysine |
DLY1 – G |
173.18 |
|
DEM + Lysine |
DLY1 – GS |
173.78 |
|
DEM + Lysine |
DLY1 – GM |
174.22 |
|
DEM + Lysine |
DLY1 - GSM |
172.65 |
Hydrogen bonding in cocrystals by FTIR spectroscopy is detected by decrease in intensity of O-H peak and appearance of low frequency broad O-H band. As seen from DEM-Leucine cocrystal, characteristic peaks at 2949, 2910, 2848, 2351 ±5 cm−1 indicative of hydrogen bond formation with retention of parent drug peak. The representative FTIR spectra of DEM, Leucine and DEM-Leucine cocrystal are as shown in figure 6, 7 and 8.
After successful detection of cocrystal by DCS and FTIR, detected cocrystals were subjected to one month RS stability study against controlled sample of DEM by using RP-HPLC method and the details are represented in table 6.
Table 6. RS stability study Details
|
Compatibility Study Details |
Study Code |
Initial Impurity |
15 Days Impurity |
1 Month Impurity |
|
DEM |
DEM |
0.60 |
1.04 |
1.58 |
|
DEM Leucine Grinding |
DLU G |
0.75 |
1.19 |
1.61 |
|
DEM Leucine Grinding + Sonication |
DLU GS |
0.73 |
1.44 |
1.63 |
|
DEM Leucine Grinding + Methanol |
DLU GM |
0.75 |
1.79 |
1.83 |
|
DEM Leucine Grinding + Sonication + Methanol |
DLU GSM |
0.78 |
1.69 |
1.90 |
|
DEM Alanine Grinding |
DAL G |
1.66 |
1.74 |
2.07 |
|
DEM Alanine Grinding + Sonication |
DAL GS |
0.99 |
1.64 |
2.05 |
|
DEM Alanine Grinding + Methanol |
DAL GM |
0.83 |
1.93 |
2.37 |
|
DEM Alanine Grinding + Sonication + Methanol |
DAL GSM |
0.82 |
1.83 |
2.21 |
|
DEM Lysine Grinding |
DLY G |
0.90 |
2.38 |
3.86 |
|
DEM Lysine Grinding + Sonication |
DLY GS |
0.80 |
2.07 |
3.44 |
|
DEM Lysine Grinding + Methanol |
DLY GM |
0.77 |
1.91 |
2.74 |
|
DEM Lysine Grinding + Sonication + Methanol |
DLY GSM |
0.85 |
2.12 |
3.05 |
|
DEM Glutamine Grinding |
DGA G |
0.78 |
1.52 |
2.00 |
|
DEM Glutamine Grinding + Sonication |
DGA GS |
0.83 |
1.82 |
2.19 |
|
DEM Glutamine Grinding + Methanol |
DGA GM |
0.73 |
1.91 |
2.52 |
|
DEM Glutamine Grinding + Sonication + Methanol |
DGA GSM |
0.73 |
2.12 |
2.79 |
DEM-Leucine cocrystal shows lowest impurity profile amongst four cocrystals of DEM & Leucine, alanine, glutamine and lysine. The summary of Cocrystal prediction and Correlation of HSP with experimental findings is represented in table 7.
Table 7. Summary of Cocrystal prediction and Correlation of HSP with experimental findings
|
Formulations |
miscibility by HSP |
DSC Melting Endotherm (°C) |
IR |
Stability study |
Prediction and success |
|
DEM |
12.06 |
178.60 |
-- |
-- |
-- |
|
Alanine |
11.99 |
174.84 |
Yes |
Failed |
Yes |
|
Leucine |
10.67 |
174.15 |
Yes |
Passed |
Yes |
|
Lysine |
11.78 |
173.18 |
Yes |
Failed |
Yes |
|
Glutamine |
13.73 |
196.93 |
Yes |
Failed |
Yes |
Conclusion
The present study was aimed to investigate the use of Hansen solubility parameter in prediction of cocrystal formation between DEM and CCFs, and evaluate the stability of prepared cocrystal. The investigated approach was effective in predicting miscibility of the drug and coformers, and 1 month stability study gives idea about formation of cocrystal and stability of prepared cocrystals. Stability of DEM cocrystals were evaluated by using RP-HPLC method.
We found that leucine –cocrystal are more stable amongst other coformers cocrystal with DEM. Leucine is non-polar, highly hydrophobic, neutral coformer. The hydrophobicity indices of leucine is 97% is highest amongst four amino acids. DEM is more stable with neutral coformers as compared to acidic and basic coformers.
The detected stable cocrystals can be further transformed to develop bioequivalent dosage as like parent form or even improved one. Future prospects of work reveal detailed evaluation of detected cocrystals for formulation, development and equivalency with marketed formulation.
Acknowledgement
The authors wish to thank ZIM Laboratories Limited., Nagpur, India, for providing the Dabigatran Etexilate Mesylate drug and facilities to perform research work.
Conflicts of Interests
All authors have none to declare.
References
Abourahma H, Urban JM, Morozowich N, Chan B. 2012. Examining the robustness of a theophylline co-crystal during grinding with additives. CrystEngComm, 14:6163-9.
Almarsson O, Zaworotko MJ. 2004. Crystal engineering of the composition of pharmaceutical phases. Do pharmaceutical cocrystals represent a new path to improved medicines? Chemical Communications, 1889-96.
Boeck G. 2013. Novel Orally Administered Dabigatran Formulation. WIPO Patent cooperation treaty (PCT) patent application WO2013110567. 1-26.
Boehringer Ingelheim. 2010. USFDA PRADAXA (dabigatran etexilate mesylate) capsules for oral use label / patient information leaflets / label. Drug@fda.1-9.
Bucar DK, Henry RF, Lou XC, Duerst RW, MacGillivray LR, Zhang GGZ. 2009. Co-crystals of caffeine and hydroxybenzoic acids composed of multiple supramolecular heterosynthons: screening via solution-mediated phase transformation and structural characterization. Crystal Growth & Design, 9(4):1932–43.
Chadha R, Bhandari S. 2014. Drug-excipient compatibility screening - Role of thermoanalytical and spectroscopic techniques. Journal of Pharmaceutical and Biomedical Analysis, 87:82-97.
Desiraju GR. 1995. Supramolecular synthons in crystal engineering-a new organic synthesis. Angewandte Chemie, 34:2311-27.
Etter MC. 1990. Encoding and decoding hydrogen-bond patterns of organic compounds. Accounts of Chemical Research, 23:120–26.
Fedors RF. 1974. A method for estimating both the solubility parameters and molar volumes of liquids. Polymer Engineering & Science, 14(2):147-54.
Gaba M, Gaba P, Singh S, Gupta GD. 2010. An overview on molecular docking. International Journal of Drug Development & Research, 2(2):219-31.
Gaikwad ER, Khabade SS, Sutar TB, Payghan SA. 2017. Preparation and Characterization of Molecular Complexes of Fenofibrate Cocrystal. Asian Journal of Pharmaceutics, 11(4):745-59.
Greenhalgh DJ, Williams AC, Timmins P, York P. 1999. Solubility parameters as predictors of miscibility in solid dispersions. Journal of pharmaceutical sciences, 88(11):1182–90.
Hancock BC, York P, Rowe RC. 1997. The use of solubility parameters in pharmaceutical dosage form design. International Journal of Pharmaceutics, 148(1):1–21.
Hansen CM. 1967. The three Dimensional solubility parameter And Solvent diffusion co efficient. Their Importance in Surface Coating formulation. Denmark. Copenhagen Danish technical press. 1-106.
Hansen CM. 2007. Hansen solubility parameter a user’s handbook second edition, New York, CRC Press. 1-511.
Heiden S, Trobs L, Wenzel KJ, Emmerling F. 2012. Mechanochemical synthesis and structural characterisation of a theophylline-benzoic acid co-crystal (1:1). CrystEngComm 14:5128-9.
Jackson K, Young D, Pant S. 2000. Drug excipient interactions and their effect on absorption. Pharmaceutical Science & Technology Today, 3(10):336-45.
Lengauer T, Rarey M. 1996. Computational methods for biomolecular docking. Current Opinion in Structural Biology 6 (3): 402-6.
Mathew D. 2009. A study of suitability of nimesulide-betacyclodextrin complex in oral and topical dosage forms. International Journal of Pharmacy and Pharmaceutical Sciences 1(1):193-8.
McNamara DP, Childs SL, Giordano J, Iarriccio A, Cassidy J, Shet MS, et al. 2006. Use of a glutaric acid co-crystal to improve oral bioavailability of a low solubility API. Pharmaceutical Research, 23(8):1888-97.
Meng XY, Zhang HX, Mezei M, Meng C. 2011. Molecular Docking: A powerful approach for structure-based drug discovery. Current Computer-Aided Drug Design, 7(2):146–57.
Mohammad AM, Amjad A, Velaga SP. 2011. Hansen solubility parameter as a tool to predict the cocrystal formation. International Journal of Pharmaceutics, 407:63-71.
Ozdemir C, Guner A. 2007. Solubility profiles of poly (ethylene glycol)/solvent systems, I: Qualitative comparison of solubility parameter approaches. European Polymer Journal, 43:3068–93.
Rathi PB. 2010. Determination and Evaluation of Solubility Parameter of Satranidazole Using Dioxane-Water System. Indian Journal of Pharmaceutical Sciences, 72(5):671-4.
Rowe RC, Sheskey PJ, Quinn ME. 2009. Handbook of Pharmaceutical Excipients. 6th ed. London: Pharmaceutical Press, 1-888.
Savova M, Kolusheva T, Stourza A, Seikova I. 2007. The use of group contribution method for predicting the solubility of seed polyphenols of Vitis vinifera L. Within a wide polarity range in solvent mixtures. Journal of the University of Chemical Technology and Metallurgy, 42(3):295-300.
Schultheiss N, Newman A. 2009. Pharmaceutical co-crystals and their physicochemical properties. Crystal Growth & Design, 9(6):2950–67.
Srikanth MV, Murali Mohan Babu GV, Rao NS, Sunil SA, Balaji S, Ramanamurthy KV. 2010. Dissolution rate enhancement of poorly soluble bicalutamide using β-cyclodextrin inclusion complexation. International Journal of Pharmacy and Pharmaceutical Sciences, 2(1):191-8.
Trask AV, Samuel Motherwell WD, Jones W. 2005. Pharmaceutical cocrystallization: Engineering a remedy for caffeine hydration. Crystal Growth & Design, 5(3):1013-21.
Ulrich B, Norbert H. 2003. Dosage form for oral administration of 3-[(2-{[4-(hexyloxycarbonylamino-imino-methyl)-phenylamino]-methyl}-1-methyl-1h-benzimidazol-5-carbonyl)-pyridin-2-yl-amino] propionic acid ethyl ester or its salts. European Patent EP1485094B1.1-15.
Zhang S, Rasmuson AC. 2012. The theophylline-oxalic acid co-crystal system: solid phases, thermodynamics and crystallisation. CrystEngComm, 14:4644-55.